Электромагнитный момент и механическая характеристика
Электромагнитный момент асинхронной машины создается в результате взаимодействия тока в обмотке ротора с вращающимся магнитным полем. Связь между моментом и скоростью вращения ротора можно получить из
уравнения механической мощности. Если в него подставить выражение для тока ротора, то с учетом того, что угловая частота вращения равна
Все величины, входящие в это выражение константы, кроме скольжения
s. Взяв производную
. К приближенному равенству для критического скольжения можно перейти с учетом того, что
. Знак плюс в этих выражениях соответствует двигательному режиму, а минус – генераторному.
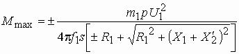
Из выражения для
следует, что максимальный момент в генераторном режиме больше, чем в двигательном. Однако, пренебрегая
также, как это было сделано для
, мы получим упрощенное выражение для максимального момента более удобное для качественного анализа –
.
Полагая
в выражении
, получим выражение для пускового момента асинхронного двигателя

Полученная зависимость
представлена на рисунке. Точка
соответствует идеальному холостому ходу машины. Этот режим может быть получен только за счет внешнего вращающего момента.Точка
соответствует пусковому режиму или режиму короткого замыкания. Устойчивая работа машины возможна только в пределах скольжений от
до
, т.к. вне этого участка при увеличении скольжения момент двигателя уменьшается, что приводит к дальнейшему увеличению скольжения (снижению скорости) и этот процесс будет развиваться до полной остановки двигателя. Переход на участок неустойчивой работы называется "опрокидыванием" двигателя. Это происходит, если
Номинальный режим работы двигателя соответствует скольжению
. Отношение
называется перегрузочной способностью. Превышение максимального момента над номинальным является необходимым условием надежной работы двигателя.
Если за счет внешнего вращающего момента вал двигателя раскручивается до скорости выше синхронной
, то скольжение становится отрицательным и машина переходит в генераторный режим.
При скольжениях
скорость вращения будет отрицательной, т.е. ротор двигателя будет вращаться в направлении противоположном направлению вращения магнитного поля и машина перейдет в тормозной режим или режим противовключения.
На рисунке
для наглядности критическое скольжение составляет около 0,5. Такие значения в реальных машинах нормального исполнения не бывают. Они находятся в пределах от 0,1 до 0,02, причем меньшие значения соответствуют машинам большей мощности. Поэтому рабочий участок характеристики
практически линейный и может быть заменен прямой 
Выражение
не позволяет анализировать свойства характеристики в общем виде. Однако, если его разделить на
, то получится удобное выражение в относительных единицах, называемое по имени автора формулой Клосса
.
В теории электрических машин и электропривода вместо характеристики
принято пользоваться механической характеристикой. Механическая характеристика двигателя это зависимость скорости вращения от момента нагрузки на валу, т.е.
. Эту характеристику легко можно получить из характеристики
, если учесть, что
, т.е. она получается смещением оси момента в точку
и изменением масштаба оси скольжений. При этом в новой системе координат режимы работы машины (генераторный, двигательный и тормозной) оказываются в различных квадрантах плоскости
, а режимы холостого хода и короткого замыкания – в точках пересечения механической характеристики с осями координат.
Линеаризованная механическая характеристика рабочего участка примет вид
