5.2.1. Сельсины с одной обмоткой синхронизации.
Для индикаторной передачи угла могут быть использованы сельсины с одной обмоткой на роторе, называемые одноосными (рис.5.19).

Рис. 5.19. Схема включения одноосных сельсинов.
Если оси обмоток ротора датчика и приемника образуют с осью обмотки статора углы, равные соответственно
и
n, то ток в этих обмотках:

Подставляя значения
Д-
n=
;
2
Д-
n=
+
Д;
Д+
n=2
Д-
n,
получаем
|
|
(5.3.1) |
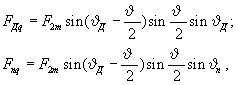
Намагничивающая сила, создаваемая обмоткой ротора, будет пропорциональна току I2:
|
|
(5.3.2) |
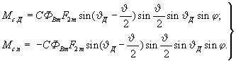
Синхронизирующий момент можно определить, как и в сельсине с трехфазной обмоткой по выражению:
|
|
(5.3.3) |
Так как в данном случае поперечные составляющие НС ротора датчика и ротора приемника:
то формулы для синхронизирующих моментов датчика и приемника будут иметь вид:
|
|
(5.3.4) |
Из этих выражений следует, что величина синхронизирующего момента сельсина приемника зависит не только от угла рассогласования, но и от положения ротора приемника. При
n=0 и
n=1800 синхронизирующий момент Мс=0 при любом угле рассогласования, т. к. в этом случае поперечная составляющая НС ротора приемника Fnq=0. При
Д=-
n в обмотках роторов приемника и датчика будут индуктироваться равные ЭДС, вследствие чего ток в этих обмотках и синхронизирующий момент так же будут равны нулю. Эти свойства одноосного сельсина ограничивают его применение только теми случаями, когда угол
n изменяется в пределах от 0 до 1800. Характерной особенностью одноосного сельсина является то, что синхронизирующие моменты датчика и приемника не равны между собой. Это позволяет использовать такой сельсин в качестве усилителя момента, передаваемого от датчика к приемнику
назад/оглавление/ вперед