K-во вопросов= 59
1
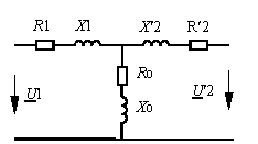
__Сколько ветвей содержит схема
замещения короткозамкнутого АД?
2
Какая линия является
геометрическим местом точек вектора тока статора асинхронной машины при
изменении скольжения в пределах 
3
В каком режиме
работы асинхронная машина развивает наибольший момент?
4
На рисунке показана
схема электродвигателя постоянного тока:

5
Величина

в уравнении механической характеристики
двигателя постоянного тока - это:
6
При управлении
двигателем постоянного тока независимого возбуждения введением добавочного
сопротивления в цепь якоря скорость холостого хода:
7
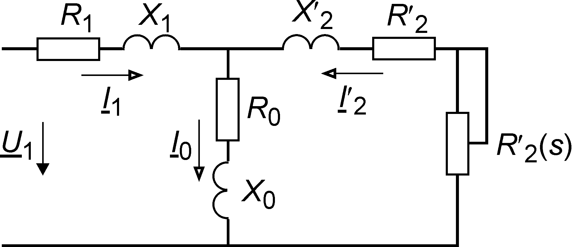
На однофазной
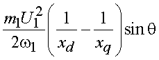
схеме замещения асинхронного двигателя

буквой Хμ обозначено:
8
В уравнении
механической характеристики асинхронного двигателя

буквой Sк обозначено:
9
Скольжение
асинхронного электродвигателя определяется выражением:
10
При
идеальном холостом ходе асинхронного двигателя скольжение равно:
11
При
заторможенном роторе асинхронного двигателя скольжение равно:
12
При введении в цепь
ротора асинхронного двигателя добавочного активного сопротивления критический
момент двигателя:
13
При реостатном
пуске асинхронного двигателя пусковой момент:
14
В режиме
рекуперативного торможения асинхронного электропривода поле статора асинхронной
машины:
15
Скорость
вращения синхронного двигателя до выхода машины из синхронизма:
16
Асинхронный
пуск синхронного двигателя производится:
17
Какова частота питающей
сети, если ротор синхронной машины с двумя парами полюсов вращается со скоростью
6000 об/мин?
18
Каким должно быть
распределение магнитного потока в рабочем зазоре синхронной машины?
19
Укажите
параметры, определяющие величину ЭДС, индуктируемую в обмотках статора
синхронной машины в режиме холостого хода?
20

Укажите характеристику холостого хода
синхронного генератора.
21
Какая часть
синхронной машины называется якорем?
22
Что понимается под
реакцией якоря синхронной машины?
23
Укажите внешнюю характеристику
синхронного генератора, соответствующую активной нагрузке.
24
Укажите
правильное выражение для электромагнитного момента синхронной машины с
возбуждёнными полюсами
25

Укажите угловую
характеристику неявнополюсного синхронного двигателя с возбуждёнными
полюсами.
26

Укажите механическую
характеристику синхронного двигателя.
27
Какое устройство
используют для пуска синхронных двигателей?
28
Чему равен
ток в пусковой короткозамкнутой обмотке в синхронном режиме?
29

Укажите роторы реактивного двигателя
имеющие одну пару полюсов.
30
Чем обусловлен ток во
вторичной цепи трансформатора?
31
Как изменится магнитный
поток в сердечнике трансформатора, если его сечение увеличить вдвое?
32
Как
экспериментально определить мощность потерь в стали трансформатора?
33
Как изменится ток
холостого хода трансформатора, если в магнитопроводе появится воздушный зазор?
34
Что произойдет с
магнитным потоком в сердечнике трансформатора, если увеличить ток вторичной
обмотки?
35

Какой элемент следует исключить из
схемы замещения трансформатора с ферромагнитным сердечником, если исключить
сердечник?
36
Показания амперметра А1 в опыте
короткого замыкания 1 А. Отношение чисел витков обмоток -
w1/w2=2. Что показывает амперметр А2
37
Показания приборов в опыте короткого замыкания
следующие:
А2 - 2 А
V1 - 10 В
W - 3 Вт
Отношение чисел витков обмоток - w1/w2=2 Каковы потери
в меди вторичной обмотки трансформатора при номинальном токе нагрузки в Вт?
38
Какому режиму работы
трансформатора соответствует выражение для тока первичной обмотки
I1=I'2?
39
Что такое внешняя
характеристика трансформатора?
40
Какая из представленного кривых
соответствует внешней характеристике трансформатора с нагрузкой активного
характера?
41
При каком соотношении
составляющих потерь мощности в трансформаторе КПД трансформатора принимает
максимальное значение?
42

Для трансформатора с
номинальной мощностью 200 ВА , работающего на резистивную нагрузку зависимость
КПД от коэффициента нагрузки представлена на рисунке. Чему равны потери
холостого хода?
43
Показания приборов следующие:
А2 -
2 А
V2 - 30 В
W - 70 Вт
Каков КПД трансформатора?
44

Укажите на схеме
машины постоянного тока электрическую цепь якоря
45
Как изменится скорость
холостого хода машины постоянного, если ток обмотки возбуждения уменьшить в 2
раза?
46
Какие
параметры машины постоянного тока, нужно сохранять неизменными, чтобы
электромагнитный момент был постоянным?
47
Укажите режим работы
машины постоянного тока, в котором физическая нейтраль совпадает с
геометрической
48
Укажите способы
уменьшения влияния реакции якоря в машинах постоянного тока в широком диапазоне
изменения нагрузки
49
Укажите способы
улучшения коммутации в машинах постоянного тока
50
Укажите параметры,
влияющие на величину скорости холостого хода двигателя независимого возбуждения
51
В каком режиме можно
определить сопротивление якоря машины постоянного тока?
52
Укажите необходимые и
достаточные условия возникновения вращающего момента в асинхронной машине.
53

Укажите на оси скольжений точку холостого
хода асинхронной машины
54
Каким должно быть
распределение магнитного потока в зазоре асинхронной машины?
55
Укажите режим работы
АМ, при котором отсутствует поток рассеяния статора.
56

Укажите механическую
характеристику однофазной асинхронной машины.
57
Для чего
последовательно с пусковой обмоткой однофазного асинхронного двигателя включают
конденсатор?
58

Укажите точки, в которых
асинхронная машина получает механическую энергию от внешнего источника
59

Укажите выражение, соответствующее
механической мощности на валу машины